LÓGICA EPISTÊMICA: PARTE 2
LÓGICA EPISTEMOLOGICA
(EPISTÊMICA) - PARTE 2
UMA INTRODUÇÃO PELO MÉTODO DINÂMICO
VINICIUS DIAS DE SOUZA
LÓGICA EPISTEMOLOGICA
(EPISTÊMICA) - PARTE 2
(EPISTÊMICA) - PARTE 2
UMA INTRODUÇÃO PELO MÉTODO DINÂMICO
Não apenas eventos informativos em que diferentes agentes têm uma perspectiva diferente podem ser modelados em DEL, mas também anúncios públicos podem ser pensados em termos de modelos de eventos. Um anúncio público pode ser modelado por um modelo de evento contendo apenas um evento: o anúncio. Todos os agentes sabem que este é o evento real, por isso é o único evento considerado possível. De fato, DEL é uma generalização do PAL.
Crítica, alternativas e extensões
Muitas pessoas se sentem um tanto desconfortáveis com ter modelos como objetos sintáticos. Baltag e Moss tentaram acomodar isso propondo diferentes idiomas, mantendo uma semântica subjacente usando modelos de eventos [10, 13]. Esta questão é amplamente discutida em [91, Seção 6.1].
Existem alternativas usando lógica híbrida [70], e lógica algébrica ([11], [12]). A maioria dos artigos apenas usa modelos de eventos no idioma.
O DEL foi ampliado de várias maneiras. Operadores para mudanças factuais [85, 81] e operadores passados a partir da lógica temporal foram adicionados [64, 5]. DEL foi combinado com a probabilidade [45], lógica de justificação [63] e estendido de tal forma que a revisão de crença também está dentro de suas habilidades. As conexões foram feitas entre DEL e várias outras lógicas. Sua relação com PDL, ETL [80], revisão de crença AGM e cálculo de situação [83] foi estudada. DEL foi aplicado a vários quebra-cabeças e paradoxos de matemática recreativa e filosofia. Também foi aplicado a problemas na teoria dos jogos (ver [79] para uma pesquisa muito detalhada), bem como problemas em segurança informática [94]. A complexidade e a sucinta do DEL foram investigadas em [54, 69, 6]. Duas revisões recentes de DEL são [17, 78]. Na próxima seção, prestamos atenção ao DEL e à revisão de crenças.
4. DEL e Belief Revision
Algo que você não pode modelar em DEL está mudando de idéia. Uma vez que você conhece um fato, você sabe disso para sempre, ou seja, uma vez que
é verdade, ele permanece verdadeiro após cada atualização. Mesmo quando temos restrições mais fracas nas relações de acessibilidade (para crença ou mesmo acessibilidade geral), isso continua sendo o caso. Mas às vezes, quando você acredita em um fato, você muda de idéia, e você pode acreditar no contrário. Isso não é chocante ou qualquer coisa, pode ter sido que você simplesmente não acreditou firmemente. Isso significa uma mudança de
dentro
ou, usando a modalidade crença mais adequado
para isso: uma mudança de
dentro
. Em uma comunidade diferente, a revisão de crenças (AGM), esta é a operação mais natural em torno - de fato, chamada de "revisão de crença". Nesta seção, avaliamos as interações entre essa revisão de crença AGM e a lógica epistêmica dinâmica.






A revisão da opinião foi estudada a partir da perspectiva das propriedades estruturais do raciocínio sobre a mudança das crenças [29], na perspectiva da mudança, crescimento e encolhimento das bases do conhecimento, e da perspectiva de modelos e outras estruturas de mudança de crença em que tais bases de conhecimento podem ser interpretado, ou que satisfaça as propriedades assumidas de raciocínio sobre crenças. Uma abordagem típica envolve ordens preferenciais para expressar graus de crença crescente ou decrescente [48, 56], onde esses trabalhos se referem aos "sistemas de esferas" em [51, 38]. Dentro desta tradição, a revisão de crenças multi-agente também foi investigada, por exemplo, mesclando a crença [46]. Os operadores de crenças normalmente não são explícitos no idioma lógico, de modo que as crenças de ordem superior (eu sei que você ignora uma determinada proposição) não podem ser formalizadas.
O vínculo entre a revisão da crença e a lógica modal, ou seja, modalidades de crença explícitas e modalidades de mudança de crença na linguagem lógica, foi feita em uma vertente de pesquisa conhecida como doxástica dinâmicalógica. Isto foi proposto e investigado por Segerberg e colaboradores em obras como [68, 52, 67, 22]. Esses trabalhos são distintos de outras abordagens para a revisão de crenças na lógica modal, sem operadores modais dinâmicos, como [19, 50, 20], que também influenciaram o desenvolvimento de lógicas dinâmicas combinando mudanças de conhecimento e crença. Nas lógicas doxásticas dinâmicas, os operadores de crenças estão na linguagem lógica e os operadores de revisão de crenças são modalidades dinâmicas. A mudança de crença de ordem superior, ou seja, para revisar as crenças de alguém sobre as crenças e ignorâncias próprias ou de outros agentes, é considerada problemática na lógica doxástica dinâmica, ver [52]. Em [68, 67], a revisão de crença é restrita a fórmulas proposicionais (revisão factual). tem
lógicas dobásicas dinâmicas em que [* φ] significa apenas revisão de crença com φ de acordo com alguma estratégia definida externamente, como no estilo AGM (esta é a configuração geral em [68], diferente da configuração modal não-divisória / doxástica em [71]), mas também há lógicas doxásticas dinâmicas, como [67], em que [* φ] é uma receita que opera em uma estrutura semântica e produz uma nova estrutura, a abordagem padrão na lógica epistêmica dinâmica.
A revisão da opinião na lógica epistêmica dinâmica foi iniciada em [4, 88, 77, 15]. A partir destes, [4, 88] propõem um tratamento envolvendo graus de crença e com base em graus de plausibilidade entre estados em estruturas que interpretam tais lógicas, a chamada revisão de crença dinâmica quantitativa; Considerando que [77, 15] propõem um tratamento envolvendo declarações comparativas sobre plausibilidades (uma relação binária entre estados que denotam mais / menos plausível), a chamada revisão de crença dinâmica qualitativa. O último é claramente mais adequado para a lógica de revisão de crenças, e para noções como a crença condicional. O analógico do postulado AGM de sucesso deve ser abandonado quando se incorpora a mudança de crença de ordem superior como na lógica epistêmica dinâmica, onde novamente um mecanismo principal são Moore-orações da forma "proposição"p é verdade, mas você não sabe isso ", o que não pode ser aceito após você aceita. Mais muitos trabalhos sobre revisão de crenças dinâmicas apareceram desde, por exemplo, [33, 53, 24]. Uma revisão de crença prévia, independente, de modelo para modelo foi na lógica epistêmica temporal, e foi iniciada em meados da década de 1990 em [28]. Seu tratamento integrado de crença, conhecimento, plausibilidade e mudança é semelhante aos desenvolvimentos mais recentes para modelar a revisão da crença na lógica epistêmica dinâmica e a relação entre as duas abordagens é incompleta.
Para um exemplo de revisão de crença na lógica epistêmica dinâmica, considere um agente e uma proposição p sobre o qual o agente está incerto. O agente poderia ser Ann, que não tem certeza se Bob tem um cartão vermelho, como na proposição
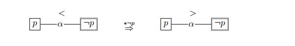
anterior. Obtemos um modelo Kripke representado na Figura 7, não diferente daquela na Figura 2. Existem dois estados do mundo, um onde p é falso e outro onde p é verdadeiro. Deixe-nos sugestivamente chamá-los de 0 e 1, respectivamente. O agente tem preferências epistêmicas entre esses estados. Ou seja, ela considera mais plausível que 1 seja o estado real, isto é, que p é verdadeiro e menos plausível que 0 seja o estado real. Nós escrevemos 1 <0 onde, como comum na área, o mínimoO elemento na ordem é o estado maisplausível (e não, como talvez seja esperado, o estado menos plausível). Vamos assumir ainda que p é falso.


Figura 7: Ann acredita que p, mas considera
epistemologicamente possível.

O agente acredita em uma proposição quando detém os estados mais plausíveis. Por exemplo, ela acredita que p é verdade. Isso é formalizado como

Nós escrevemos
(para crença) em vez de
(para o conhecimento), pois as crenças podem estar erradas. Na verdade, o agente acredita que p, mas na verdade p é falso! Mas também distinguimos uma modalidade para o conhecimento.


O agente conhece uma proposição quando se mantém em todos os estados plausíveis. Estas são suas crenças mais fortes, ou conhecimento. No caso deste exemplo, seu conhecimento factual envolve somente tautologias como p ∨.
Isso é descrito como



Agora imagine que o agente quer rever suas crenças atuais. Ela acredita que p é verdadeira, mas foi dado motivo suficiente para estar disposto a revisar suas crenças com o
contrário. Podemos realizar isso quando permitimos uma transformação de modelo que torna o estado 0 mais plausível do que o estado 1. Existem várias maneiras de fazer isso. Neste exemplo simples, podemos simplesmente observar que basta fazer com que o estado satisfaça a fórmula de revisão
, ou seja, 0, mais plausível que o outro estado, 1. Veja a Figura 8. Como conseqüência disso, o agente agora acredita
:
é verdade. Portanto, a revisão foi bem sucedida. Isso já pode ser expresso na situação inicial usando um operador modal dinâmico [*
] para a relação induzida pelo programa "revisão de crença com
", seguida pelo que deve ser mantido após esse programa ser executado. Nesta configuração modal dinâmica, podemos então escrever isso










já era verdade no início.

Figura 8: Ann revisa sua crença com 

Na lógica epistêmica dinâmica, ao contrário da AGM original ou da configuração DDL subseqüente, as crenças e o conhecimento também podem ser sobre fórmulas modais. Por exemplo, não só temos isso
, mas também temos que
o agente acredita que não sabe se p . Podemos dizer: Ann está ciente de que sua crença em p não é muito forte, que é desnecessário.


5. DEL e idioma
Considere a conexão entre DEL e a teoria da fala. A teoria do discurso começou com o trabalho de [7], que argumentou que a linguagem é usada para executar todo tipo de ações; nós fazemos promessas, fazemos perguntas, emitimos comandos e assim por diante. Um exemplo de um ato de fala é um barman que diz: "A barra será fechada em cinco minutos" [8]. Austin distingue três tipos de atos que são realizados pelo barman (i) o locucionário ato de proferir as palavras, (ii) o ilocutória ato de informar seus clientes que o bar vai fechar em cinco minutos, e (iii) o perlocucionário ato de fazendo com que a clientela ordene uma última bebida e saia.
As condições de verdade, que determinam se uma sentença indicativa é verdadeira de falsas, são generalizadas para condições de sucesso para determinar se um ato de fala é bem sucedido ou não. Na teoria do ato de fala, existem várias distinções quando se trata de maneiras em que algo pode estar errado com um ato de fala [7, p. 18]. Aqui não fazemos distinções e simplesmente falamos sobre condições de sucesso. Searle dá em [66, p. 66] as seguintes condições de sucesso, entre outras, para uma afirmação de que p pelo falante S ao ouvinte H :
- S tem evidências (razões e assim por diante) pela verdade da p .
- Não é óbvio para ambos os S e Hque H sabe (não precisa ser lembrado, e assim por diante) p .
- S acredita que p
A teoria da fala foi adotada pela comunidade de sistemas multi-agentes, por exemplo, pela Fundação para Agentes Físicos Inteligentes (FIPA). O FIPA é uma organização de padrões da Sociedade de Computação IEEE que promove a tecnologia baseada em agentes e a interoperabilidade de seus padrões com outras tecnologias. Ele publicou uma Comunicativa Act Library Specification [26], que inclui uma especificação da ação de informação , que é semelhante à análise da Searle sobre asserções.
Vale a pena juntar essa análise de afirmações à análise de anúncios públicos em PAL. É claro a partir da lista de condições de sucesso que geralmente só anuncia o que alguém acredita (ou sabe) ser verdade. Então, uma condição prévia adicional para um anúncio de que φ por um agente α deve ser esse
. Os anúncios públicos são realmente modelados desta maneira em [61].

Por exemplo, considere o caso quando Ann diz a Bob que ela tem um cartão vermelho: é mais apropriado modelar isso como um anúncio que,
ao invés do anúncio de que rα . Felizmente, essas fórmulas foram equivalentes no modelo em questão. Suponha que Ann tenha dito "Nós dois não temos cartões brancos". Quando isso é modelado como um anúncio que
, obtemos o modelo na Figura 9 (a). No entanto, Ann só sabe que esta afirmação é verdade quando ela realmente possui um cartão vermelho. Na verdade, quando observamos o resultado do anúncio , obtemos o modelo na Figura 9 (b). Nós vemos que o resultado disso






Figura 9: Uma ilustração da diferença entre o efeito do anúncio que φ e o anúncio que
φ e um anúncio que apenas alteram a informação de ordem superior dos agentes

O anúncio é o mesmo que quando Ann diz que ela tem um cartão vermelho (veja a Figura 2). Ao fazer pressupostos parte do anúncio, estamos de forma a acomodar a pré-condição (veja também [44]).
A segunda condição de sucesso na análise de Searle revela que um anúncio deve fornecer ao ouvinte novas informações. À luz de DEL, pode-se rever esta segunda condição de sucesso ao dizer que p não é de conhecimento comum, levando em conta a informação de ordem superior. Parece natural supor que um falante quer alcançar um conhecimento comum de p , pois desempenha um papel importante na coordenação de ações sociais; e assim a falta de conhecimento comum de p é uma condição para o sucesso de anunciar p .
Considere a situação em que Ann olhou para o cartão de Bob quando ele estava ausente e descobriu que ele tinha um cartão vermelho (Figura 9 (c)). Suponha que, após o retorno de Bob, Ann lhe diz: "Não sei se você tem um cartão branco". Ann e Bob já sabem disso, e eles também sabem que ambos sabem disso. Portanto, a segunda condição de Searle não é cumprida e, de acordo com sua análise, há algo de errado com a afirmação de Ann. O resultado deste anúncio é dado na Figura 9 (d). Vemos que a informação dos agentes mudou. Agora, Bob já não considera possível que Ann considere possível que Bob considere possível que Ann saiba que Bob tem um cartão branco. E assim o anúncio é informativo.
Van Benthem [76] analisa episódios de perguntas e respostas usando DEL. Uma das condições de sucesso das questões como atos de fala é que o falante não conhece a resposta [66, p. 66]. Portanto, colocar uma pergunta pode revelar informações cruciais ao ouvinte de tal forma que o ouvinte só conhece a resposta após a pergunta ter sido colocada ([74], [91, p. 61], [82]).
Professor a é presidente do programa de uma conferência sobre Mudança de Crenças. Não é permitido enviar mais de um documento para esta conferência, uma regra em que todos os autores de documentos respeitaram (embora a crença de que essa regra faz sentido está mudando gradualmente, mas isso é além do ponto aqui). Nossa cadeira de programa de um gosta de ter todas as decisões sobre trabalhos apresentados fora do caminho antes do fim de semana, já que no sábado ele deve viajar para participar de um workshop sobre aplicação de Mudança de Crença. Felizmente, embora não haja tempo suficiente para notificar todos os autores, antes de partir para a oficina, sua secretária confiável assegura-lhe que informou todos os autores de artigos rejeitados, dando-lhes pessoalmente uma ligação e informando-os sobre o triste notícias sobre seu artigo.
Liberado deste fardo, o Professor a é apenas a tempo para a recepção de abertura da oficina, onde ele conhece o brilhante Dr. b . A cadeira do programa lembra que b enviou um artigo para Changing Beliefs, mas para seu próprio constrangimento ele deve admitir que ele honestamente não pode lembrar se foi aceito ou não. Felizmente, ele não precisa demonstrar sua ignorância para b , porque a pergunta de B "Você sabe se o meu papel foi aceito?" faz uma razão da seguinte maneira: a certeza de que o papel de b foi rejeitado, b teria tido essa informação, caso em que b não havia mostrado sua ignorância para a . Então, instantaneamente, umAtualiza sua crença com o fato de que o documento de B é aceito, e ele agora pode responder com sinceridade com respeito a este novo conjunto de crenças revisado.
Este fenômeno mostra que quando uma questão é considerada como um pedido [49], a condição de sucesso que o ouvinte pode conceder ao pedido, ou seja, fornecer a resposta à pergunta, deve ser cumprida após a solicitação ter sido feita, e não antes. (No entanto, não é comum acordado na literatura que as questões podem ser consideradas como pedidos (ver [35, Seção 3].) Esta análise de perguntas em DEL se encaixa bem no amplo interesse em questões em semântica dinâmica [3] . O trabalho recente sobre DEL e perguntas é [2, 59, 23].
6. DEL e Filosofia
O papel dos anúncios públicos como atos de fala informativos típicos centrou a atenção em uma série de situações em que essa forma de sucesso não pode ser alcançada. Isto foi investigado principalmente na lógica filosófica, sob o título de "frases de Moore" e o "paradoxo de Fitch". A frase "Moore" foi introduzida por Moore em [57] e sua análise original é que p ∧ ¬Kp ( p é verdade e eu não sei / acredito) não pode sinceramente ser proferido. Como este é um ato de fala informativo, você deve acreditar em suas crenças. Parece incoerente, e talvez até paradoxal, acreditar em uma proposição afirmando que você não acredita nisso. Na configuração DEL, podemos dar uma interpretação dinâmica. Não é mais paradoxal.
Se eu lhe disser "Você não sabe que eu toco violão", isso tem a implicatura conversacional "Você não sabe que eu toco violão e é verdade que eu toco violão". Isso tem a forma p ∧ ¬Kp . Suponha que eu fosse dizer-lhe novamente “Você não sabe que eu jogo violoncelo.” Depois, você pode responder: “Você está mentindo. Você acabou de me dizer que você toca violão. "Podemos analisar o que está acontecendo aqui na lógica modal. Nós modelamos sua incerteza, para o qual uma única modalidade epistêmica é suficiente. Inicialmente, existem dois mundos possíveis, em que p é verdadeiro e outro em que p é falso, e que você não pode distinguir um do outro. Embora de fato p seja verdade, você não sabe disso: p ∧ ¬Kp. O anúncio de p ∧ ¬Kp resulta em uma restrição dessas duas possibilidades para aqueles onde o anúncio é verdadeiro: no p- mundo, p ∧ ¬Kp é verdade, mas no: p -world, p ∧ ¬Kp é falso .
Na restrição do modelo que consiste no mundo único onde p é verdadeiro, p é conhecido: Kp . Dado que Kp é verdade, assim é ¬p ∨ Kp , e ¬p ∨ Kp é equivalente a ¬ ( p ∧ ¬ Kp ), a negação da fórmula anunciada. Então, o anúncio de p ∧ ¬ Kpfaz isso falso! Gerbrandy [30, 31] chama este fenômeno de uma atualização mal sucedida ; O assunto também é retomado em [89, 43, 84].
Continuamos com algumas palavras sobre o paradoxo de Fitch [27]. Uma análise padrão do paradoxo de Fitch é a seguinte: veja a excelente revisão da literatura sobre o paradoxo de Fitch na Enciclopédia da Filosofia de Stanford [21] e o volume dedicado ao conhecimento [65]. A existência de verdades desconhecidas é formalizada como ∃ p ( p ∧ ¬ Kp ). O requisito de que todas as verdades são conhecidas é formalizado como ∀ p ( p → ◊ Kp ), onde ◊ formaliza a existência de algum processo após o qual se conhece p ou um mundo acessível em que pé conhecido. O paradoxo de Fitch é que a existência de verdades desconhecidas é inconsistente com a exigência de que todas as verdades sejam conhecidas.
A frase Moore p ∧ ¬ Kp testemunha a afirmação existencial ∃ p ( p ∧ ¬ Kp ). Suponha que seja verdade. De ∃ p ( p ∧ ¬ Kp ) segue a verdade de sua instância ( p ∧ ¬ Kp ) → ◊ K ( p ∧ ¬ Kp ), e a partir disso e p ∧ ¬ Kp segue ◊ K ( p ∧ ¬ Kp ). Seja qual for a interpretação de ◊, resulta em ter que avaliar K ( p ∧ ¬ Kp). Mas isso é inconsistente para o conhecimento e a crença.
Agora chegamos à relação entre cognoscivel e DEL. A sugestão de interpretar "conhecível" como "conhecido após um anúncio" foi feita por van Benthem em [75], e [9] propõe uma lógica onde "φ é cognoscível" é interpretado dessa maneira. Nessa configuração, ◊ prepresenta "há um anúncio após o qual p(é verdadeiro)", de modo que ◊ Kprepresenta "há um anúncio após o qual pé conhecido", que é uma forma de "proposição p é conhecedora '.
Por exemplo, considere a proposição ppara "chove em Liverpool". Suponha que você ignora sobre p : ¬ ( Kp ∨ K¬p ). Primeiro, suponha que p seja verdade. Posso anunciar-lhe aqui e agora que está chovendo em Liverpool (de acordo com suas expectativas, talvez ...), depois disso você sabe que: < p > Kp significa ' p é verdade e depois de anunciar p, é conhecido '(<Φ> é o dual de [φ], isto é, <φ> ψ é definido por abreviatura como ¬ [φ] ¬ψ). Agora, suponha que p seja falso. Da mesma forma, depois de anunciar isso, você sabe disso; de modo que tenhamos <¬ p > K¬ p. Se você já sabia se p , tendo seu valor anunciado não tem nenhuma conseqüência informativa para você. Portanto, < p > K p ∨ <¬ p > K ¬ p é uma validade. Portanto, também temos < p > (K p ∨ K ¬ p) ∨ <¬ p > (K p ∨ K ¬ p) . Podemos generalizar a afirmação "há uma proposição p que, após o anúncio, pé conhecida", "existe uma proposição q , de modo que após o anúncio, p é conhecido", onde qnão é necessariamente o mesmo que p . Então, temos capturado informalmente o significado de ◊K p . Em outras palavras, este operador é uma quantificação sobre os anúncios. Mas acabamos de provar que ◊ (K p ∨ K ¬ p) é uma validade. Para mais informações sobre esses assuntos, veja [9, 84].
Outro paradoxo nos círculos lógicos filosóficos que foi analisado com métodos DEL (e que tem sintomas similares de "orações de Moore") é o Exame Surpreendente. Isso foi investigado em trabalhos como [30, 31, 89], e mais recentemente por Baltag e Smets usando estruturas epistêmicas de plausibilidade, ao longo das linhas de [16].
Partes dos materiais para esta visão geral foram tiradas de [88, 47, 84] e posteriormente revisadas para torná-lo em um único texto abrangente.
7. Referências e Leitura adicional
- [1] P. Aczel. Conjuntos não bem-fundados. CSLI Publications, Stanford, CA, 1988. CSLI Lecture Notes 14.
- [2] T. Agotnes, J. van Benthem, H. van Ditmarsch e S. Minica. Jogos de perguntas-respostas, ˚ 2011.
- [3] M. Aloni, A. Butler e P. Dekker, editores. Perguntas em Semântica Dinâmica. Elsevier, Amsterdam, 2007.
- [4] G. Aucher. Um sistema combinado para lógica de atualização e revisão de crenças. Em Proc. da 7ª PRIMA, páginas 1-17. Springer, 2005. LNAI 3371.
- [5] G. Aucher e A. Herzig. De DEL para EDL: Explorando o poder dos eventos conversos. Em K. Mellouli, editor, Proc. de ECSQARU, LNCS 4724, páginas 199-209. Springer, 2007.
- [6] G. Aucher e F. Schwarzentruber. Sobre a complexidade da lógica epistêmica dinâmica. Em Proc. do 14º TARK, 2013.
- [7] JL Austin. Como fazer coisas com palavras. Clarendon Press, Oxford, 1962.
- [8] K. Bach. Actos de fala. Em E. Craig, editor, Routledge Encyclopedia of Philosophy, volume 8, páginas 81-87. Routledge, Londres, 1998.
- [9] P. Balbiani, A. Baltag, H. van Ditmarsch, A. Herzig, T. Hoshi e T. De Lima. 'Knowable' como 'conhecido após um anúncio'. Revisão de Symbolic Logic, 1 (3): 305-334, 2008.
- [10] A. Baltag. Uma lógica para jogadores suspeitos: ações epistêmicas e crenças - atualizações em jogos. Boletim de Pesquisa Econômica, 54 (1): 1-45, 2002.
- [11] A. Baltag, B. Coecke e M. Sadrzadeh. Álgebra e cálculo sequencial para ações epistêmicas. Notas Eletrônicas na Ciência da Computação Teórica, 126: 27-52, 2005.
- [12] A. Baltag, B. Coecke e M. Sadrzadeh. Ações epistemológicas como recursos. J. of Logic Computat., 17 (3): 555-585, 2007.
- [13] A. Baltag e LS Moss. Lógica para programas epistêmicos. Synthese, 139: 165-224, 2004.
- [14] A. Baltag, LS Moss e S. Solecki. A lógica dos anúncios públicos, conhecimento comum e suspeitas particulares. Em I. Gilboa, editor, Procedimentos do TARK 98, páginas 43-56, 1998.
- [15] A. Baltag e S. Smets. Uma teoria qualitativa da revisão de crença interativa dinâmica. Em Proc. do 7º LOFT, Texts in Logic e Games 3, páginas 13-60. Amsterdam University Press, 2008.
- [16] A. Baltag e S. Smets. Dinâmica de crença de grupo sob revisão iterada: pontos fixos e ciclos de atualizações de juntas. Em Proc. do 12º TARK, páginas 41-50, 2009.
- [17] A. Baltag, H. van Ditmarsch e LS Moss. Lógica epistemológica e atualização de informações. Em J. van Benthem e P. Adriaans, editores, Handbook on the Philosophy of Information, páginas 361-456, Amsterdam, 2008. Elsevier.
- [18] P. Blackburn, M. de Rijke e Y. Venema. Lógica Modal. Cambridge University Press, Cambridge, 2001. Cambridge Tracts in Theoretical Computer Science 53.
- [19] O. Conselho. Epistemologia interativa dinâmica. Jogos e Comportamento Econômico, 49: 49-80, 2004.
- [20] G. Bonanno. Uma lógica modal modal para revisão de crenças. Synthese (conhecimento, racionalidade e ação), 147 (2): 193-228, 2005.
- [21] B. Brogaard e J. Salerno. Paradoxo de conhecimento de Fitch, 2004. http: // plato. stanford.edu/archives/sum2004/entries/fitch-paradox/.
- [22] J. Cantwell. Algumas lógicas da mudança de crença iterada. Studia Logica, 63 (1): 49-84, 1999.
- [23] I. Ciardelli e F. Roelofsen. Lógica epistêmica dinâmica inquisitiva. Manuscrito, 2013.
- [24] C. Degremont. 'A Mente Temporal. Observações sobre a lógica da mudança de crença em sistemas interativos. Tese de doutorado, Universidade de Amesterdão, 2011. Série de Dissertação de ILLC DS-2010-03.
- [25] R. Fagin, JY Halpern, Y. Moses e MY Vardi. Raciocínio sobre o conhecimento. MIT, Cambridge, Massachusetts, 1995.
- [26] FIPA. FIPA especificação da biblioteca de ato comunicativo, 2002. http://www.fipa.org/.
- [27] FB Fitch. Uma análise lógica de alguns conceitos de valor. The Journal of Symbolic Logic, 28 (2): 135-142, 1963.
- [28] N. Friedman e JY Halpern. Um quadro baseado no conhecimento para a mudança de crença - parte i: Fundações. Em Proc. do 5º TARK, páginas 44-64. Morgan Kaufmann, 1994.
- [29] P. Gardenfors. ¨ Conhecimento no Flux: Modelando a Dinâmica dos Estados Epistêmicos. Bradford Books, MIT Press, Cambridge, MA, 1988. 17
- [30] J. Gerbrandy. Bisimulações no planeta Kripke. Tese de doutorado, Universidade de Amsterdã, 1998. Série de Dissertação de ILLC DS-1999-01.
- [31] J. Gerbrandy. O exame surpresa na lógica epistêmica dinâmica. Synthese, 155 (1): 21 a 33 de 2007.
- [32] J. Gerbrandy e W. Groeneveld. Raciocínio sobre a mudança de informação. J. Logic, Lang., Inform., 6: 147-169, 1997.
- [33] P. Girard. Lógica modal para crenças e mudanças de preferências. Tese de doutorado, Universidade de Stanford, 2008. Série de Dissertação de ILLC DS-2008-04.
- [34] P. Gochet. A mudança dinâmica na lógica do século XX. Synthese, 130 (2): 175-184, 2002.
- [35] J. Groenendijk e M. Stokhof. Questões. Em J. van Benthem e A. ter Meulen, editores, Manual de Lógica e Linguagem, páginas 1055-1124. Elsevier, Amsterdã, 1997.
- [36] J. Groenendijk, M. Stokhof e F. Veltman. Coreferência e modalidade. Em S. Lappin, editor, The Handbook of Contemporary Semantic Theory, páginas 179-213. Blackwell, Oxford, 1996.
- [37] W. Groeneveld. Investigações lógicas em semântica dinâmica. Tese de doutorado, Universidade de Amsterdã, 1995. Série de Dissertação de ILLC DS-1995-18.
- [38] A. Grove. Duas modificações para mudanças teóricas. Journal of Philosophical Logic, 17: 157-170, 1988.
- [39] D. Harel. Lógica Dinâmica de Primeira Ordem. LNCS 68. Springer, 1979.
- [40] D. Harel. Lógica dinâmica. Em D. Gabbay e F. Guenthner, editores, Handbook of Philosophical Logic, volume II, páginas 497-604, Dordrecht, 1984. Kluwer Academic Publishers.
Comentários
Postar um comentário